Stephen ARNOLD
HomeProfessional Development Resources → Getting started with CAS

Getting Started with CAS

Stephen Arnold

Download in PDF format


  1. Introduction
  2. Algebra and Graphing
  3. F2 Algebra
  4. F3 Calculus

[image]

Computer algebra systems (CAS) have been available for classroom use for over fifteen years, and yet, until recently, they appear to have made little impact upon teaching and learning in most schools. The reasons for this are likely to have less to do with the appropriateness or capabilities of these tools for teaching and learning, and more to do with resistance on the part of educators to embrace learning aids which appear almost too powerful to put into the hands of students.

As a result of steady research and practice using such tools over recent years, however, it seems likely that the time is fast approaching when we might expect their use, at least in senior classrooms, to become widespread. It is timely to consider their capabilities and applications, and to begin to make use of these exciting mathematical assistants, perhaps initially as tools for teaching, before they may be more widely accepted as tools for learning. Using the new generation of handheld computer algebra systems (with accompanying viewscreen facilities), it is certainly nice to be able to walk into any mathematics class at any level and be able to respond immediately to almost any question which may come up in discussion.

Many CAS examples displayed here were created using the TI-Interactive!™ computer application, but the features of this powerful program are largely identical to those available in hand-held form using TI-89, 92 series or the new Voyage™ 200 handheld devices. This article offers a suitable starting point for those new to such systems. As such, it does not pursue some of the interesting classroom issues associated with their use, which may be found elsewhere.

ALGEBRA and GRAPHING

Top of Page

It is important to realise that CAS systems now available offer all of the capabilities currently found in "normal" graphic calculators, with the additional power to work symbolically and exactly with numbers and algebraic forms. The usual graphing, tables of values, statistical and list capabilities, as well as the host of additional features for teaching and learning of matrices, probability, distributions and calculus may all be found in a relatively consistent interface.

For example, the usual Y=, WINDOW, GRAPH and TABLE menu options are all available, as on the 83 series calculators: they simply require the press of the green diamond button to activate them. The logical organisation of the calculator - menus, commands, home screen, catalog, and other features are all easily recognisable.

Differences, too, however, are immediately apparent. The organisation of the Home Screen is centred around function buttons, similar to that of a computer. And these function keys provide access to a world of new capabilities - most obviously, in the ALGEBRA (F2) and CALCULUS (F3) menus. The presence of an ESC key and the backspace (delete) key (denoted by a left-pointing arrow) are useful inclusions; note too, the presence of an = key and the vertical | key (called "with" and used for substitution). The letter X may be used freely as a variable name, and be careful that variables can have multiple letter names now (unlike the 83 series, where ax would be interpreted as a x x; in this world, it would be seen as a variable name itself. 3x, however, still means 3 x x (although a space can also be interpreted as multiplication!).

F2 ALGEBRA Commands

Top of Page

There is no SIMPLIFY command, since this is done automatically where possible. Hence, entering [image] Note the use of the dot to denote multiplication, a common feature of CAS in both handheld and computer-based forms.

Other algebraic commands, however, must be specified, and correct syntax is essential. For example, the important SOLVE command requires that the variable to be solved for is specified. Thus, [image]
This may seem unnecessarily difficult, until it is realised that this is a purely symbolic system, quite happy to work with any number of symbols and variables. Thus, if the equation we enter has multiple variables, we need to specify which one it is that we are interested in (this logic follows through many other commands in both algebra and, of course, calculus).

Thus:
[image]

But:

[image]
and
[image]

The correct formatting of both input and output (called "pretty print") is a useful feature of these tools, allowing students to readily recognise algebraic forms, presented in the same way that they find them in textbooks and examination. This is a feature which, if desired, can be disabled (using the MODE menu).

Results can also be forced into decimal form (or "approximate mode" as opposed to "exact mode", shown above). This may be done in three ways: setting the desired mode using the MODE menu, pressing the green diamond button when pressing ENTER, or by entering any number in the equation in decimal form, as shown below.

[image]
The SOLVE command can also produce multiple solutions, as in the case of trigonometric equations. The use of the @n1 variable represents integer values and so conveniently describes the infinite solution set required.

[image]

Commands such as EXPAND are easily understood
[image]
FACTOR, on the other hand, has several forms and applications. It may, for example, be applied to numbers, as well as algebraic forms.

[image]

It may also be used with and without the specifying variable. Note the difference between:

[image] and
[image]

If the variable is specified, then factoring will be attempted across the Real Number Field (i.e. including surds where possible).

There are also available complex options for solving and factoring:

[image] and
[image]

The ZEROS and cZEROS commands operate upon polynomials rather than equations, and produces results as a list of numbers.
[image]

When working with algebraic expressions and equations, it is often convenient to DEFINE these using the usual function notation. This may be done using either the STO key on the keypad, or using the Define command (F4):
[image]
This form may then be used with any of the available commands (solving, factoring, etc) and also for graphing and tables of values. It also offers a convenient form for substituting values (both numerical and algebraic) into the given function.

[image] and [image]

F3 CALCULUS Commands

Top of Page

Differentiating, integrating, taking limits and many more calculus options are available within a CAS environment. The syntax of such commands is consistent with that already encountered - the required variable must always be.specified in the form d(f(x),x).

[image]
[image]
[image] and even
[image]

[image] Note that the limit command requires a number after the variable.
Thus, the form shown would require the command: limit((x^2-4x+3)/(x-3), x, 3). Note that an additional numerical value would produce the limit from above (if the second value was positive) or the limit from below (if that number was negative).
[image] and [image]

Specifying a numerical value after the derivative command will compute the derivative to that degree. Thus, d(sin(x),x,2) will compute the second derivative of sin(x). To calculate the derivative at a point we use the "with" command ("|"):
[image] [image]

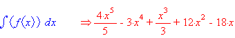
Specifying two numbers after the integral command will produce the definite integral:

[image] while [image]

Additional calculus commands are also available, including arclength and Taylor series expansion.

[image]
and [image]

Products and summations are easily found:

[image] and [image]

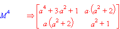
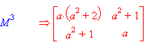
Finally, vectors and matrices are similarly defined and manipulated.

[image]
[image]
[image]

[image]

Now, investigate this pattern when a = 1.

Many more functions and possibilities are available using these powerful mathematical tools. It remains only to explore new and better ways to make use of them for enhancing teaching and learning in our classrooms.

Top of Page


For comments & suggestions, please e-mail Steve Arnold.

Back to My Home Page