
- Introduction
- What do you mean?
- Mean Calculator
- Harmony in Mathematics
- A picture of harmony
- Harmony in perspective
- An application
- References
|
SPECIAL AT THE FRUIT SHOP!
Oranges are 2 kilograms for $1, apples are 3 kilograms for $1. How much of each should I order? |
|
Two trains, the XPT and the VFT, approach a tunnel from opposite directions. At their current speeds, it would take the XPT 8 seconds to travel through the tunnel, while the VFT would take 12 seconds. If both trains enter the tunnel at the same instant, after how many seconds will they pass each other? |
|
A water tank has three pipes, A, B and C connected to it, pipes A and B at the top, and pipe C at the bottom. Pipe A is capable of filling the tank in 4 hours, pipe B can fill it in 6 hours. Pipe C is capable of emptying the tank in 5 hours.
|
Every once in a while in Mathematics we come across problems in which the numbers just don't seem to behave themselves. They appear simple enough at the outset, but we quickly discover that our "mathematical intuition" fails us, and the solution - if it comes at all - arrives as the result of a long and tortuous process.
In such cases, it is not uncommon to find that lurking behind the problem - often undiscovered - lies a fascinating and historically significant fellow called the harmonic mean. Certainly known to Pythagoras - to whom the four branches of Mathematics were arithmetike (number theory), logistike (calculation), geometrike (practical geometry) and armoniai (music) - the Harmonic Mean has been all but forgotten in modern Mathematics, overshadowed by its more famous relatives, the Arithmetic and Geometric means. Its neglect is sad, since it not only touches upon many elegant and beautiful elements in arithmetic, algebra and geometry, but it also has some interesting applications which further justify its study.
What Do You Mean?
Table of Contents
It is worthwhile first to consider the nature of Means. The growth in the study of Statistics in recent times has led to the common misconception that there is only "the Mean." It is usually with some satisfaction that teachers of Senior Mathematics point out to their students that, in addition to the Arithmetic Mean there is also a Geometric Mean, But, of course, there are many, many means.
In arithmetic, a "mean" is usually thought of as a mathematical process which places a number somewhere between two given numbers. The Arithmetic Mean, of course, is that number exactly halfway between two numbers, given by the formula
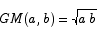
The Geometric Mean, on the other hand is always less than the Arithmetic Mean, and is produced as follows:
Any mathematical process which takes two numbers and uses these to produce a third can be thought of as a "mean" provided it passes one test. A "good" mean when asked to operate upon the same number twice should always produce that number as the answer. Thus, from the formulae above, AM(a, a) = GM(a, a) = a.
We note, too, that the original numbers and their mean form a sequence or progression. Thus, if y is the arithmetic mean of x and z then x, y, z are said to be in arithmetic progression. Similarly, the geometric mean and its two "source" numbers form a geometric progression.
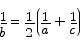
The Harmonic Mean may be defined in the following way. Three numbers, a, b and c are said to be in harmonic progression if their reciprocals are in Arithmetic Progression. The actual formula for the Harmonic Mean may then be derived by either using the formula above for the Arithmetic Mean, where
or by using the familiar property of arithmetic progressions concerning the constant difference between terms, such that
Either way, it is a useful manipulative exercise for students to isolate "b" and produce the formula
(You should also check that this formula passes the "test for means"!)
Try this now! Enter your own values for a and b to see their means:
Harmony in Mathematics Table of Contents